Score por actividad
Sea una actividad A_j compuesta por n fases jugadas. Cada fase i tiene asociada una dificultad relativa d_i que se calcula como:

donde fase_i representa el número o nivel de la fase jugada y fase_max es la fase más avanzada alcanzable dentro de la actividad. Así, d_i toma valores entre 0 y 1, indicando qué tan difícil fue cada fase en relación con la máxima.
El score medio de las fases jugadas se denota como S_i, y la dificultad máxima alcanzada como:

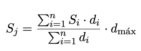
El score ponderado de la actividad se define como:

Este valor combina los scores de todas las fases, ponderándolos según su dificultad relativa y ajustando el resultado final según la fase más difícil alcanzada.
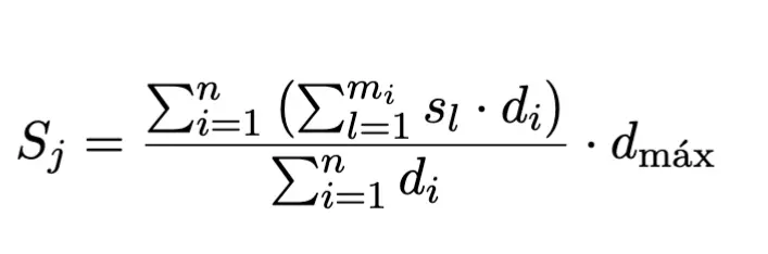
Si además consideramos que el score de una fase (S_i) es la media de los scores obtenidos en los ejercicios que la componen, ponderados también por su dificultad, podemos expresar:

donde:
- s_l es el score obtenido en el ejercicio l dentro de la fase i
- m_i es el número de ejercicios jugados en la fase i
Sustituyendo esta expresión en la fórmula general, obtenemos una forma equivalente del score total de la actividad:

Interpretación intuitiva
El score S_j de una actividad refleja el rendimiento global del usuario en todas las fases, dando más peso a aquellas que tienen mayor dificultad.
Además, el factor d_max ajusta el resultado según el nivel máximo de desafío alcanzado, de modo que dos usuarios con el mismo rendimiento medio obtendrán un score mayor si han llegado a fases más avanzadas.
Métricas complementarias
Además del score ponderado, se calculan las siguientes métricas asociadas a cada actividad A_j:

donde:
- n es el número total de fases jugadas dentro de la actividad.
- d_i representa la dificultad relativa de la fase i.
- s_i es el score medio obtenido de la fase i.
- P_j indica el rendimiento promedio del usuario en una actividad, sin ponderar por la dificultad.
Interpretación:
- La dificultad media refleja el nivel promedio de complejidad de las fases jugadas.
- La dificultad máxima indica la fase más desafiante alcanzada.
- El performance mide el rendimiento general del usuario, considerando todas las fases por igual, sin ajustar por la dificultad de cada una.
Estas métricas permiten complementar la interpretación del score ponderado, ofreciendo una visión más amplia del desempeño: mientras el score ponderado valora la dificultad alcanzada, el performance muestra la consistencia del rendimiento en todas las fases.
Score por funciones (y subfunciones) cognitivas
Cada actividad A_j contribuye a una o varias funciones cognitivas l con un peso asociado w_j^l, que refleja el grado de relación entre la actividad y la función/subfunción cognitiva.
El score de una función/subfunción cognitiva l se calcula como una media ponderada de los scores de las actividades que la trabajan:

donde:
- S_j es el score ponderado de la actividad A_j
- w_j^l es el peso que indica la relevancia de la actividad A_j en la función/subfunción cognitiva l.
- k es el n´mero total de actividades jugadas asociadas a la función/subfunción cognitiva.
De forma análoga, se definen las métricas complementarias por función/subfunción cognitiva:

donde:

Impacto de cada función (y subfunción) cognitiva
El impacto relativo o porcentaje de contribución de una función/subfunción cognitiva l al rendimiento global del usuario se calcula como:

Este valor indica el peso relativo que tiene cada función/subfunción cognitiva en el resultado total, considerando tanto los scores como las relaciones de las actividades con cada función/subfunción.
Score y métricas globales
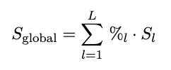
Finalmente, el score global del usuario se obtiene como una media ponderada de los scores por función cognitiva y sus respectivos impactos:

De forma paralela, se calculan las métricas globales equivalentes:

donde L es el número total de funciones cognitivas consideradas.
Interpretación


