DOCUMENTAÇÃO PROVISÓRIA, cálculo do score sujeito a constante revisão e mudanças.
Score por atividade
Seja uma atividade A_j composta por n fases jogadas. Cada fase i tem associada uma dificuldade relativa d_i, que se calcula da seguinte forma:

onde fase_i representa o número ou nível da fase jogada, e fase_max é a fase mais avançada que pode ser alcançada dentro da atividade. Assim, d_i assume valores entre 0 e 1, indicando quão difícil foi cada fase em relação à máxima.
O score médio das fases jogadas é denotado como S_i, e a dificuldade máxima alcançada como:

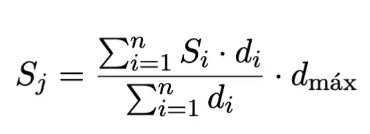
O score ponderado da atividade é definido como:

Este valor combina os scores de todas as fases, ponderando-os de acordo com a sua dificuldade relativa e ajustando o resultado final com base na fase mais difícil alcançada.
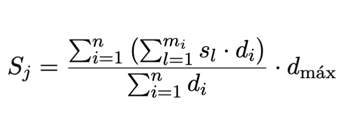
Se, além disso, considerarmos que o score de uma fase (S_i) é a média dos scores obtidos nos exercícios que a compõem, também ponderados pela sua dificuldade, podemos expressar:

onde:
- s_l é o score obtido no exercício l dentro da fase i
- m_i é o número de exercícios jogados na fase i
Substituindo essa expressão na fórmula geral, obtemos uma forma equivalente do score total da atividade:

Interpretação intuitiva
O score S_j de uma atividade reflete o desempenho global do usuário em todas as fases, dando mais peso às fases de maior dificuldade.
Além disso, o fator d_max ajusta o resultado conforme o nível máximo de desafio alcançado, de modo que dois usuários com o mesmo desempenho médio obterão um score maior se tiverem chegado a fases mais avançadas.
Métricas complementares
Além do score ponderado, são calculadas as seguintes métricas associadas a cada atividade A_j:

onde:
- n é o número total de fases jogadas dentro da atividade.
- d_i representa a dificuldade relativa da fase i.
- s_i é o score médio obtido na fase i.
- P_j indica o desempenho médio do usuário em uma atividade, sem ponderação pela dificuldade.
Interpretação
- A dificuldade média reflete o nível médio de complexidade das fases jogadas.
- A dificuldade máxima indica a fase mais desafiante alcançada.
- O performance mede o desempenho geral do usuário, considerando todas as fases de forma igual, sem ajuste pela dificuldade.
Essas métricas complementam a interpretação do score ponderado, oferecendo uma visão mais ampla: enquanto o score ponderado valoriza a dificuldade atingida, o performance mostra a consistência do desempenho do usuário ao longo das fases.
Score por funções (e subfunções) cognitivas
Cada atividade A_j contribui para uma ou várias funções cognitivas l com um peso associado w_j^l, que reflete o grau de relação entre a atividade e a função/subfunção cognitiva.
O score de uma função/subfunção cognitiva l é calculado como uma média ponderada dos scores das atividades que trabalham essa função:

onde:
- S_j é o score ponderado da atividade A_j
- w_j^l é o peso que indica a relevância da atividade A_j na função/subfunção cognitiva l
- k é o número total de atividades jogadas associadas à função/subfunção cognitiva
Da mesma forma, definem-se as métricas complementares por função/subfunção cognitiva:
O cálculo do score de uma atividade j é a média do score obtido em cada uma das telas jogadas.

Onde:

Impacto de cada função (e subfunção) cognitiva
O impacto relativo, ou percentual de contribuição, de uma função/subfunção cognitiva l para o desempenho global do usuário é calculado como:

Este valor indica o peso relativo que cada função/subfunção cognitiva tem no resultado total, considerando tanto os scores quanto as relações das atividades com cada função/subfunção.
Score e mètricas globais
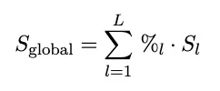
Finalmente, o score global do usuário é obtido como uma média ponderada dos scores por função cognitiva e seus respetivos impactos:

De forma paralela, calculam-se as métricas globais equivalentes:

onde L é o número total de funções cognitivas consideradas.
Interpretação

