Score par activité
Soit une activité AjA_jAj composée de nnn phases jouées.
Chaque phase iii possède une difficulté relative did_idi qui se calcule comme suit :

où phase_i représente le numéro ou niveau de la phase jouée, et phase_max est la phase la plus avancée pouvant être atteinte dans l’activité. Ainsi, did_idi prend des valeurs entre 0 et 1, indiquant le degré de difficulté de chaque phase par rapport à la difficulté maximale.
La moyenne des scores des phases jouées est notée SiS_iSi, et la difficulté maximale atteinte se définit comme :

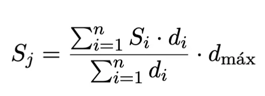
Le score pondéré de l’activité est défini comme :

Cette valeur combine les scores de toutes les phases, en les pondérant selon leur difficulté relative et en ajustant le résultat final en fonction de la phase la plus difficile atteinte.
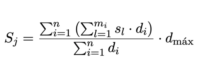
Si l’on considère en plus que le score d’une phase (SiS_iSi) correspond à la moyenne des scores obtenus dans les exercices qui la composent — eux-mêmes pondérés selon leur difficulté — on peut exprimer :

où :
- sls_lsl est le score obtenu dans l’exercice lll de la phase iii
- mim_imi est le nombre d’exercices joués dans la phase iii
En remplaçant cette expression dans la formule générale, on obtient une forme équivalente du score total de l’activité :

Interprétation intuitive
Le score SjS_jSj d’une activité reflète la performance globale de l’utilisateur sur l’ensemble des phases, en donnant davantage de poids à celles qui présentent une difficulté plus élevée.
De plus, le facteur dmaxd_{\text{max}}dmax ajuste le résultat en fonction du niveau maximal de défi atteint : ainsi, deux utilisateurs ayant la même performance moyenne obtiendront un score plus élevé s’ils ont accédé à des phases plus avancées.
Métriques complémentaires
En plus du score pondéré, les métriques suivantes sont calculées pour chaque activité AjA_jAj :

où :
- nnn est le nombre total de phases jouées dans l’activité.
- did_idi représente la difficulté relative de la phase iii.
- sis_isi est le score moyen obtenu dans la phase iii.
- PjP_jPj indique la performance moyenne de l’utilisateur dans une activité, sans pondération par la difficulté.
Interprétation :
- La difficulté moyenne reflète le niveau moyen de complexité des phases jouées.
- La difficulté maximale indique la phase la plus exigeante atteinte.
- La performance mesure le rendement global de l’utilisateur, en considérant chaque phase de manière identique, sans ajustement selon la difficulté.
Ces métriques complètent l’interprétation du score pondéré en offrant une vision plus globale de la performance :
tandis que le score pondéré valorise la difficulté atteinte,
la performance met en avant la constance du rendement dans l’ensemble des phases.
Score par fonctions (et sous-fonctions) cognitives
Chaque activité AjA_jAj contribue à une ou plusieurs fonctions cognitives lll, avec un poids associé wjlw_j^lwjl, qui reflète le degré de lien entre l’activité et la fonction / sous-fonction cognitive.
Le score d’une fonction ou sous-fonction cognitive lll se calcule comme une moyenne pondérée des scores des activités qui la travaillent :

où :
- SjS_jSj est le score pondéré de l’activité AjA_jAj
- wjlw_j^lwjl est le poids qui indique la pertinence de l’activité AjA_jAj pour la fonction / sous-fonction cognitive lll
- kkk est le nombre total d’activités jouées associées à cette fonction / sous-fonction cognitive
De manière analogue, on définit les métriques complémentaires pour chaque fonction / sous-fonction cognitive :

où :

Impact de chaque fonction (et sous-fonction) cognitive
L’impact relatif, ou pourcentage de contribution, d’une fonction / sous-fonction cognitive lll à la performance globale de l’utilisateur se calcule comme :

Cette valeur indique le poids relatif de chaque fonction / sous-fonction cognitive dans le résultat global, en tenant compte à la fois des scores et des relations entre les activités et chaque fonction / sous-fonction.
Score et métriques globales
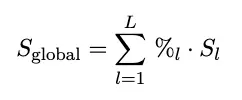
Enfin, le score global de l’utilisateur est obtenu comme une moyenne pondérée des scores par fonction cognitive et de leurs impacts respectifs :

De manière parallèle, les métriques globales équivalentes sont calculées :

où LLL est le nombre total de fonctions cognitives considérées.
Interprétation

